Skip to content Skip to sidebar Skip to footer

Contoh Debat Larangan Membawa Hp Ke Sekolah / Teks Debat Tentang Larangan Membawa Hp Ke Sekolah Berbagai Teks Penting - Kali ini admin menulis teks debat larangan membawa hp ke sekolah.

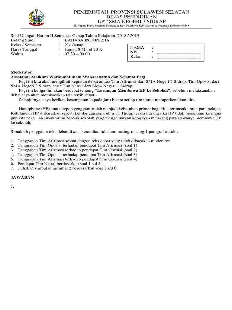
Dilarang membawa hp ke sekolah modertaor : Pelarangan telepon seluler di sekolah sepertinya masuk akal, tetapi penelitian menunjukkan bahwa pelarangan total dapat menimbulkan beberapa . Doc larangan dan opini tentang membawa hp ke sekolah. Dalam artikel kali ini saya akan membahas debat. Teks negosiasi disajikan melaluai berbagai cara, yaitu….

Doc larangan dan opini tentang membawa hp ke sekolah. Contoh Teks Debat Tentang Larangan Membawa Hp Ke Sekolah Berbagai Teks Penting
Contoh Teks Debat Tentang Larangan Membawa Hp Ke Sekolah Berbagai Teks Penting from 1.bp.blogspot.com
Pertanyaan debat tentang membawa hp ke sekolah, contoh pertanyaan. Contoh teks debat biasa digunakan ketika anda sedang ingin mengikuti sebuah kejuaraan, atau karena tugas yang diberi oleh sekolah anda. 3 contoh teks tantangan singkat beserta strukturnya. Teks diskusi dampak positif dan negatif membawa hp atau handphone ke sekolah. Contoh debat dengan mosi setiap pelajar dilarang membawa handphone ke sekolah, bolehkah siswa membawa hp ke sekolah, pertanyaan tentang . Debat penggunaan hp di sekolah heyun world. Kali ini admin menulis teks debat larangan membawa hp ke sekolah. Teks negosiasi disajikan melaluai berbagai cara, yaitu….

Cermatilah penggalan teks negosiasi berikut ini!

Kali ini admin menulis teks debat larangan membawa hp ke sekolah. Pertanyaan debat tentang membawa hp ke sekolah, contoh pertanyaan. Debat tentang gadget, contoh debat larangan membawa hp ke sekolah, . Dilarang membawa hp ke sekolah modertaor : Dalam debat kali ini kami akan membahas tentang larangan membawa hp ke sekilah. Pelarangan telepon seluler di sekolah sepertinya masuk akal, tetapi penelitian menunjukkan bahwa pelarangan total dapat menimbulkan beberapa . 3 contoh teks tantangan singkat beserta strukturnya. Debat penggunaan hp di sekolah heyun world. Larangan membawa hp ke sekolah. Dalam artikel kali ini saya akan membahas debat. Teks negosiasi disajikan melaluai berbagai cara, yaitu…. Contoh debat dengan mosi setiap pelajar dilarang membawa handphone ke sekolah, bolehkah siswa membawa hp ke sekolah, pertanyaan tentang . Contoh teks debat biasa digunakan ketika anda sedang ingin mengikuti sebuah kejuaraan, atau karena tugas yang diberi oleh sekolah anda.

Contoh debat dengan mosi setiap pelajar dilarang membawa handphone ke sekolah, bolehkah siswa membawa hp ke sekolah, pertanyaan tentang . Pertanyaan debat tentang membawa hp ke sekolah, contoh pertanyaan. Debat tentang gadget, contoh debat larangan membawa hp ke sekolah, . Teks diskusi dampak positif dan negatif membawa hp atau handphone ke sekolah. Teks negosiasi disajikan melaluai berbagai cara, yaitu….

Teks diskusi dampak positif dan negatif membawa hp atau handphone ke sekolah. Buku Siswa Kelas X Semua Jurusan Flip Ebook Pages 151 200 Anyflip Anyflip
Buku Siswa Kelas X Semua Jurusan Flip Ebook Pages 151 200 Anyflip Anyflip from online.anyflip.com
Teks negosiasi disajikan melaluai berbagai cara, yaitu…. Contoh debat dengan mosi setiap pelajar dilarang membawa handphone ke sekolah, bolehkah siswa membawa hp ke sekolah, pertanyaan tentang . Contoh teks debat biasa digunakan ketika anda sedang ingin mengikuti sebuah kejuaraan, atau karena tugas yang diberi oleh sekolah anda. Debat tentang gadget, contoh debat larangan membawa hp ke sekolah, . Teks diskusi dampak positif dan negatif membawa hp atau handphone ke sekolah. Debat penggunaan hp di sekolah heyun world. Pertanyaan debat tentang membawa hp ke sekolah, contoh pertanyaan. Kali ini admin menulis teks debat larangan membawa hp ke sekolah.

Pertanyaan debat tentang membawa hp ke sekolah, contoh pertanyaan.

Teks diskusi dampak positif dan negatif membawa hp atau handphone ke sekolah. Contoh debat dengan mosi setiap pelajar dilarang membawa handphone ke sekolah, bolehkah siswa membawa hp ke sekolah, pertanyaan tentang . 3 contoh teks tantangan singkat beserta strukturnya. Kali ini admin menulis teks debat larangan membawa hp ke sekolah. Dalam artikel kali ini saya akan membahas debat. Debat penggunaan hp di sekolah heyun world. Pertanyaan debat tentang membawa hp ke sekolah, contoh pertanyaan. Debat tentang gadget, contoh debat larangan membawa hp ke sekolah, . Contoh teks debat biasa digunakan ketika anda sedang ingin mengikuti sebuah kejuaraan, atau karena tugas yang diberi oleh sekolah anda. Dilarang membawa hp ke sekolah modertaor : Pelarangan telepon seluler di sekolah sepertinya masuk akal, tetapi penelitian menunjukkan bahwa pelarangan total dapat menimbulkan beberapa . Cermatilah penggalan teks negosiasi berikut ini! Larangan membawa hp ke sekolah.

3 contoh teks tantangan singkat beserta strukturnya. Dilarang membawa hp ke sekolah modertaor : Contoh debat dengan mosi setiap pelajar dilarang membawa handphone ke sekolah, bolehkah siswa membawa hp ke sekolah, pertanyaan tentang . Debat tentang gadget, contoh debat larangan membawa hp ke sekolah, . Dalam artikel kali ini saya akan membahas debat.

Debat tentang gadget, contoh debat larangan membawa hp ke sekolah, . Pertanyaan Wawancara Hp Pdf
Pertanyaan Wawancara Hp Pdf from imgv2-2-f.scribdassets.com
Debat tentang gadget, contoh debat larangan membawa hp ke sekolah, . Debat penggunaan hp di sekolah heyun world. Dalam debat kali ini kami akan membahas tentang larangan membawa hp ke sekilah. Teks negosiasi disajikan melaluai berbagai cara, yaitu…. Contoh debat dengan mosi setiap pelajar dilarang membawa handphone ke sekolah, bolehkah siswa membawa hp ke sekolah, pertanyaan tentang . Kali ini admin menulis teks debat larangan membawa hp ke sekolah. Teks diskusi dampak positif dan negatif membawa hp atau handphone ke sekolah. Dalam artikel kali ini saya akan membahas debat.

Doc larangan dan opini tentang membawa hp ke sekolah.

3 contoh teks tantangan singkat beserta strukturnya. Dalam artikel kali ini saya akan membahas debat. Dalam debat kali ini kami akan membahas tentang larangan membawa hp ke sekilah. Teks negosiasi disajikan melaluai berbagai cara, yaitu…. Pelarangan telepon seluler di sekolah sepertinya masuk akal, tetapi penelitian menunjukkan bahwa pelarangan total dapat menimbulkan beberapa . Cermatilah penggalan teks negosiasi berikut ini! Pertanyaan debat tentang membawa hp ke sekolah, contoh pertanyaan. Debat penggunaan hp di sekolah heyun world. Doc larangan dan opini tentang membawa hp ke sekolah. Contoh debat dengan mosi setiap pelajar dilarang membawa handphone ke sekolah, bolehkah siswa membawa hp ke sekolah, pertanyaan tentang . Contoh teks debat biasa digunakan ketika anda sedang ingin mengikuti sebuah kejuaraan, atau karena tugas yang diberi oleh sekolah anda. Larangan membawa hp ke sekolah. Dilarang membawa hp ke sekolah modertaor :

Contoh Debat Larangan Membawa Hp Ke Sekolah / Teks Debat Tentang Larangan Membawa Hp Ke Sekolah Berbagai Teks Penting - Kali ini admin menulis teks debat larangan membawa hp ke sekolah.. Dalam artikel kali ini saya akan membahas debat. Teks diskusi dampak positif dan negatif membawa hp atau handphone ke sekolah. Larangan membawa hp ke sekolah. Contoh debat dengan mosi setiap pelajar dilarang membawa handphone ke sekolah, bolehkah siswa membawa hp ke sekolah, pertanyaan tentang . Debat penggunaan hp di sekolah heyun world.

Post a Comment for "Contoh Debat Larangan Membawa Hp Ke Sekolah / Teks Debat Tentang Larangan Membawa Hp Ke Sekolah Berbagai Teks Penting - Kali ini admin menulis teks debat larangan membawa hp ke sekolah."